题目内容
定义在R上的偶函数f(x),对任意x1,x2∈[0,+∞)(x1≠x2),有A.f(3)<f(-2)<f(1)
B.f(1)<f(-2)<f(3)
C.f(-2)<f(1)<f(3)
D.f(3)<f(1)<f(-2)
【答案】分析:确定函数在[0,+∞)上单调减,结合函数是偶函数,即可得到结论.
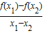
解答:解:由题意,∵对任意x1,x2∈[0,+∞)(x1≠x2),有
<0,
∴函数在[0,+∞)上单调减
∴f(3)<f(2)<f(1)
∵函数是偶函数,∴f(-2)=f(2)
∴f(3)<f(-2)<f(1)
故选A.
点评:本题考查函数单调性与奇偶性的结合,确定函数的单调性是关键.
解答:解:由题意,∵对任意x1,x2∈[0,+∞)(x1≠x2),有
∴函数在[0,+∞)上单调减
∴f(3)<f(2)<f(1)
∵函数是偶函数,∴f(-2)=f(2)
∴f(3)<f(-2)<f(1)
故选A.
点评:本题考查函数单调性与奇偶性的结合,确定函数的单调性是关键.
练习册系列答案
相关题目