题目内容
设Sn为数列{an}的前n项和,Sn=kn2+n,n∈N*,其中k是常数,
(I)求a1及an;
(II)若对于任意的m∈N*,am,a2m,a4m成等比数列,求k的值。
解:(Ⅰ)当
,
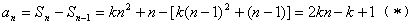
当n≥2时,
经检验,当n=1时,(*)式成立,
∴
。
(Ⅱ)
成等比数列,
∴
即
,
整理,得
,

∴k=0或k=1。
当n≥2时,
经检验,当n=1时,(*)式成立,
∴
(Ⅱ)
∴
即
整理,得
∴k=0或k=1。
练习册系列答案
相关题目