题目内容
已知函数f(x)=(Ⅰ)判断f(x)的奇偶性;
(Ⅱ)判断f(x)的单调性,并加以证明;
(Ⅲ)写出f(x)的值域.
【答案】分析:(Ⅰ)因为x∈R,所以定义域关于原点对称.又因为 f(-x)=-f(x),所以f(x)是奇函数.
(Ⅱ)任意取x1,x2,并且x1>x2∴
,则 f(x1)-f(x2)=
>0,所以f(x)在R上是增函数.
(Ⅲ)∵0<
<2∴f(x)=1-
∈(-1,1),进而得到答案.
解答:解:(Ⅰ)由题意可得:x∈R,所以定义域关于原点对称.
又因为 f(x)=
=
=
所以f(-x)=
=
=-f(x),
所以f(x)是奇函数.
(Ⅱ)f(x)=
=
=1-
,在R上是增函数,
证明如下:任意取x1,x2,并且x1>x2∴
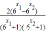
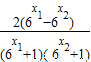
则 f(x1)-f(x2)=
-
=
>0
所以f(x1)>f(x2),则f(x)在R上是增函数.
(Ⅲ)∵0<
<2
∴f(x)=1-
∈(-1,1),
所以f(x)的值域为(-1,1).
点评:解决此类问题的关键是熟练掌握函数的有关性质,如奇偶性、单调性、周期性、值域与定义域等性质.
(Ⅱ)任意取x1,x2,并且x1>x2∴
(Ⅲ)∵0<
解答:解:(Ⅰ)由题意可得:x∈R,所以定义域关于原点对称.
又因为 f(x)=
所以f(-x)=
所以f(x)是奇函数.
(Ⅱ)f(x)=
证明如下:任意取x1,x2,并且x1>x2∴
则 f(x1)-f(x2)=
所以f(x1)>f(x2),则f(x)在R上是增函数.
(Ⅲ)∵0<
∴f(x)=1-
所以f(x)的值域为(-1,1).
点评:解决此类问题的关键是熟练掌握函数的有关性质,如奇偶性、单调性、周期性、值域与定义域等性质.
练习册系列答案
相关题目
已知函数f(x)=x2-bx的图象在点A(1,f(1))处的切线l与直线3x-y+2=0平行,若数列{
}的前n项和为Sn,则S2010的值为( )
| 1 |
| f(n) |
A、
| ||
B、
| ||
C、
| ||
D、
|