题目内容
已知函数f(x)=(1)若a=2,求f(x)在(1,f(1))处的切线方程;
(2)若f(x)在区间(1,e)上恰有两个零点,求a的取值范围.
【答案】分析:(1)利用导数的几何意义求切线方程.(2)利用导数求出函数的极大值和极小值,利用f(x)在区间(1,e)上恰有两个零点,求a的取值范围.
解答:解:(1)a=2,f(x)=
x2-2lnx,f'(x)=x-
,f'(1)=-1,f(1)=
,
f(x)在(1,f(1))处的切线方程为2x+2y-3=0.
(2)由
,
由a>0及定义域为(0,+∞),令f'(x)=0得x=
,
①若
,即0<a≤1在(1,e)上,f'(x)>0,f(x)在(1,e)上单调递增,
因此,f(x)在区间[1,e]的最小值为f(1)=
.
②若1
,即1<a<e2在(1,
)上,f'(x)<0,f(x)单调递减;在(
)上,f'(x)>0,f(x)单调递增,因此f(x)在区间[1,e]上的最小值为
.
③若
,即a≥e2在(1,e)上,f'(x)<0,f(x)在[1,e]上单调递减,
因此f(x)在区间[1,e]上的最小值为
.
综上,当0<a≤1时,
;当1<a<e2时,
;
当a≥e2时,
,
可知当0<a≤1或a≥e2时,f(x)在(1,e)上是单调递增或递减函数,不可能存在两个零点.
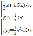
当1<a<e2时,要使f(x)在区间(1,e)上恰有两个零点,则
∴
,即
,此时,e
.
所以,a的取值范围为(e,
).
点评:本题主要考查导数的几何意义,以及利用导数研究函数的性质,考查学生的运算能力.综合性较强.
解答:解:(1)a=2,f(x)=
f(x)在(1,f(1))处的切线方程为2x+2y-3=0.
(2)由
由a>0及定义域为(0,+∞),令f'(x)=0得x=
①若
因此,f(x)在区间[1,e]的最小值为f(1)=
②若1
③若
因此f(x)在区间[1,e]上的最小值为
综上,当0<a≤1时,
当a≥e2时,
可知当0<a≤1或a≥e2时,f(x)在(1,e)上是单调递增或递减函数,不可能存在两个零点.
当1<a<e2时,要使f(x)在区间(1,e)上恰有两个零点,则
∴
所以,a的取值范围为(e,
点评:本题主要考查导数的几何意义,以及利用导数研究函数的性质,考查学生的运算能力.综合性较强.
练习册系列答案
相关题目
| π |
| 2 |
A、f(x)=2sin(πx+
| ||
B、f(x)=2sin(2πx+
| ||
C、f(x)=2sin(πx+
| ||
D、f(x)=2sin(2πx+
|