题目内容
若椭圆中心在原点,对称轴为坐标轴,长轴长为A.
B.
C.
D.
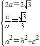
【答案】分析:利用长轴长为
,离心率为
,可得
,解得a,b即可.
解答:解:∵长轴长为
,离心率为
,∴
,解得
,b2=2.
∴椭圆的方程为
或x
.
故选D.
点评:熟练掌握椭圆的标准方程及其性质是解题的关键.
解答:解:∵长轴长为
∴椭圆的方程为
故选D.
点评:熟练掌握椭圆的标准方程及其性质是解题的关键.
练习册系列答案
相关题目
题目内容
若椭圆中心在原点,对称轴为坐标轴,长轴长为