题目内容
已知函数f(x)=lnx+2x,g(x)=a(x2+x).(1)若
(2)若f(x)≤g(x)恒成立,求a的取值范围.
【答案】分析:(1)因为函数f(x)=lnx+2x,g(x)=a(x2+x),把a=
,得
,然后求出其导数F′(x),最后根据导数判断函数的单调性,从而求解;
(2)由题意f(x)≤g(x)恒成立,构造新函数F(x)=f(x)-g(x),然后求出
,只要证F(x)的最大值小于0,就可以了.
解答:解:(Ⅰ)
,
其定义域是(0,+∞)

令F′(x)=0,得x=2,
(舍去).(3分)
当0<x<2时,F′(x)>0,函数单调递增;
当x>2时,F′(x)<0,函数单调递减;
即函数F(x)的单调区间为(0,2),(2,+∞).(6分)
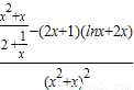
(Ⅱ)设F(x)=f(x)-g(x),
则
,(8分)
当a≤0时,F′(x)≥0,F(x)单调递增,
F(x)≤0不可能恒成立,(10分)
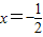
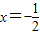
当a>0时,令F′(x)=0,得
,
(舍去).
当
时,F′(x)>0,函数单调递增;
当
时,F′(x)<0,函数单调递减;(13分)
故F(x)在(0,+∞)上的最大值是
,
依题意
恒成立,
即
,
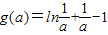
又
单调递减,且g(1)=0,
故
成立的充要条件是a≥1,
所以a的取值范围是[1,+∞).
lnx+2x≤a(x2+x)恒成立,由于x>0,即:a≥
,即只要确定
的最大值即可.
设h(x)=
h'(x)=
=
当a≤0即h(x)递增,当x>1时,h'(x)<0即h(x)递减,则h(x)的最大值是h(1)=1,从而a≥1
点评:此题主要考查函数的导数,函数单调性的判定,函数最值,函数、方程与不等式等基础知识,一般出题者喜欢考查学生的运算求解能力、推理论证能力及分析与解决问题的能力,要出学生会用数形结合的思想、分类与整合思想,化归与转化思想、有限与无限的思想来解决问题.
(2)由题意f(x)≤g(x)恒成立,构造新函数F(x)=f(x)-g(x),然后求出
解答:解:(Ⅰ)
其定义域是(0,+∞)
令F′(x)=0,得x=2,
当0<x<2时,F′(x)>0,函数单调递增;
当x>2时,F′(x)<0,函数单调递减;
即函数F(x)的单调区间为(0,2),(2,+∞).(6分)
(Ⅱ)设F(x)=f(x)-g(x),
则
当a≤0时,F′(x)≥0,F(x)单调递增,
F(x)≤0不可能恒成立,(10分)
当a>0时,令F′(x)=0,得
当
当
故F(x)在(0,+∞)上的最大值是
依题意
即
又
故
所以a的取值范围是[1,+∞).
lnx+2x≤a(x2+x)恒成立,由于x>0,即:a≥
设h(x)=
=
当a≤0即h(x)递增,当x>1时,h'(x)<0即h(x)递减,则h(x)的最大值是h(1)=1,从而a≥1
点评:此题主要考查函数的导数,函数单调性的判定,函数最值,函数、方程与不等式等基础知识,一般出题者喜欢考查学生的运算求解能力、推理论证能力及分析与解决问题的能力,要出学生会用数形结合的思想、分类与整合思想,化归与转化思想、有限与无限的思想来解决问题.
练习册系列答案
相关题目