题目内容
设a为实数,函数f(x)=x3-ax2+(a2-1)x在(-∞,0)和(1,+∞)上都是增函数,求a的取值范围.
解:f′(x)=3x2-2ax+(a2-1),
其判别式△=4a2-12a2+12=12-8a2,
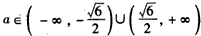
(1)若△=12-8a2=0,即
,
当
或
时,f′(x)>0,f(x)在(-∞,+∞)上为增函数,
所以
。
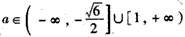
(2)若△=12-8a2<0,恒有f′(x)>0,f(x)在(-∞,+∞)上为增函数,
所以
,即
;
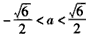
(3)若
,即
,
令f′(x)=0,解得
,
当x∈(-∞,x1)或x∈(x2,+∞)时,f′(x)>0,f(x)为增函数;
当x∈(x1,x2)时,f′(x)<0,f(x)为减函数,
依题意x1≥0且x2≤1,
由x1≥0得
,解得
;
由x2≤1得
,解得
;
从而
;
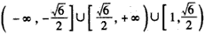
综上,a的取值范围为
,
即
。
其判别式△=4a2-12a2+12=12-8a2,
(1)若△=12-8a2=0,即
当
所以
(2)若△=12-8a2<0,恒有f′(x)>0,f(x)在(-∞,+∞)上为增函数,
所以
(3)若
令f′(x)=0,解得
当x∈(-∞,x1)或x∈(x2,+∞)时,f′(x)>0,f(x)为增函数;
当x∈(x1,x2)时,f′(x)<0,f(x)为减函数,
依题意x1≥0且x2≤1,
由x1≥0得
由x2≤1得
从而
综上,a的取值范围为
即
练习册系列答案
相关题目