题目内容
已知数列{an}满足a1=1,an+1=
,记bn=a2n,n∈N*。
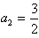
(1)求a2,a3;
(2)求数列{bn}的通项公式;
(3)若S2n+1=a1+a2+…+a2n+a2n+1,求S2n+1。
(1)求a2,a3;
(2)求数列{bn}的通项公式;
(3)若S2n+1=a1+a2+…+a2n+a2n+1,求S2n+1。
解:(1)
,
;
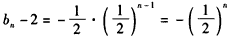
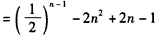
(2)当n≥2时,

∴
∴
即
。
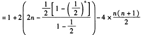
(3)∵
∴





。
(2)当n≥2时,
∴
∴
即
(3)∵
∴
练习册系列答案
相关题目