题目内容
数列{an}的前n项和为Sn,且a1=1,an+1=
Sn,n=1,2,3,…,求:
(Ⅰ)a2,a3,a4的值及数列{an}的通项公式;
(Ⅱ)a2+a4+a6+…+a2n的值。
(Ⅰ)a2,a3,a4的值及数列{an}的通项公式;
(Ⅱ)a2+a4+a6+…+a2n的值。
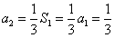
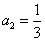
解:(Ⅰ)由
,得
,
,
,
由
,得
,
又
,
所以
,
所以,数列{an}的通项公式为
。
(Ⅱ)由(Ⅰ)可知a2,a4,…,a2n是首项为
,公比为
,项数为n的等比数列,
所以
。
由
又
所以
所以,数列{an}的通项公式为
(Ⅱ)由(Ⅰ)可知a2,a4,…,a2n是首项为
所以
练习册系列答案
相关题目