题目内容
双曲线的渐近线方程为x±2y=0,焦距为10,这双曲线的方程为 .
【答案】分析:分别看焦点在x轴和y轴时,整理直线方程求得双曲线方程中a和b的关系式,进而根据焦距求得a和b的另一关系式,联立求得a和b,则双曲线的方程可得.
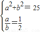
解答:解:当焦点在x轴时,
求得a=
,b=
,双曲线方程为
当焦点在y轴时,
求得a=
,b=
,双曲线方程为
=1
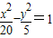
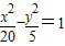
∴双曲线的方程为
或
=1
点评:本题主要考查了双曲线的标准方程.解题的关键是熟练掌握双曲线方程中的a,b和c的关系,并灵活运用.
解答:解:当焦点在x轴时,
当焦点在y轴时,
∴双曲线的方程为
点评:本题主要考查了双曲线的标准方程.解题的关键是熟练掌握双曲线方程中的a,b和c的关系,并灵活运用.
练习册系列答案
相关题目