题目内容
已知集合P={(x,y)|y=k},Q={(x,y)|y=ax+1},且P∩Q=∅,那么k的取值范围是( )A.(-∞,1)
B.(-∞,1]
C.(1,+∞)
D.(-∞,+∞)
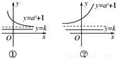
【答案】分析:集合P、Q代表坐标系中的点集,集合P代表直线y=k上所有的点,集合Q代表曲线y=ax+1上所有的点,分别画出它们的图象,观察它们的交点情况即可.
解答:
解:集合P代表直线y=k上所有的点,集合Q代表曲线y=ax+1上所有的点,
由P∩Q=∅,可知y=k和y=ax+1没有交点,
结合图象①②可知k≤1.
所以选B.
点评:本题主要考查交集及其运算、指数函数的图象.函数的图象是函数关系的一种表示,它是从“形”的方面刻划函数的变化规律,通过函数图象,可以形象地反映函数的性质.
解答:
由P∩Q=∅,可知y=k和y=ax+1没有交点,
结合图象①②可知k≤1.
所以选B.
点评:本题主要考查交集及其运算、指数函数的图象.函数的图象是函数关系的一种表示,它是从“形”的方面刻划函数的变化规律,通过函数图象,可以形象地反映函数的性质.
练习册系列答案
相关题目