题目内容
已知(1)判断f(x)的奇偶性;
(2)函数f(x)的零点是否存在?若存在,试求出其零点;若不存在,请说明理由.
(3)讨论f(x)函数的单调性.
【答案】分析:(1)根据函数奇偶性的定义即可判断;
(2)函数f(x)是否有零点,也即判断f(x)=0在定义域内是否有解;
(3)设-1<x1<x2<1,通过作差判断f(x1)与f(x2)的大小关系,然后按单调性的定义即可判断,其中要分a>1,0<a<1两种情况进行讨论;
解答:解:(1)∵函数f(x)的定义域为(-1,1),它关于原点对称,
又f(-x)=
=-
=-f(x),
所以函数f(x)是奇函数;
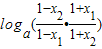
(2)令f(x)=
⇒
⇒1+x=1-x⇒x=0,
又0∈(-1,1),
故f(x)有零点0;
(3)设-1<x1<x2<1,
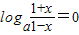
则f(x1)-f(x2)=
-
=
,
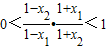
∵-1<x1<x2<1,∴0<1-x2<1-x1<2,0<1+x1<1+x2<2,
∴0<
<1,0<
<1,
∴
,
当0<a<1时,f(x1)-f(x2)>0,
∴函数f(x)是在定义域上减函数.
当a>1时,f(x1)-f(x2)<0,函数f(x)在定义域上是增函数.
点评:本题考查复合函数单调性的判断及函数奇偶性的判断,考查对数的运算性质,考查学生的运算变形能力,考查分类讨论思想.
(2)函数f(x)是否有零点,也即判断f(x)=0在定义域内是否有解;
(3)设-1<x1<x2<1,通过作差判断f(x1)与f(x2)的大小关系,然后按单调性的定义即可判断,其中要分a>1,0<a<1两种情况进行讨论;
解答:解:(1)∵函数f(x)的定义域为(-1,1),它关于原点对称,
又f(-x)=
所以函数f(x)是奇函数;
(2)令f(x)=
又0∈(-1,1),
故f(x)有零点0;
(3)设-1<x1<x2<1,
则f(x1)-f(x2)=
∵-1<x1<x2<1,∴0<1-x2<1-x1<2,0<1+x1<1+x2<2,
∴0<
∴
当0<a<1时,f(x1)-f(x2)>0,
∴函数f(x)是在定义域上减函数.
当a>1时,f(x1)-f(x2)<0,函数f(x)在定义域上是增函数.
点评:本题考查复合函数单调性的判断及函数奇偶性的判断,考查对数的运算性质,考查学生的运算变形能力,考查分类讨论思想.
练习册系列答案
相关题目