题目内容
已知函数f(x)=2sin(1)求使函数f(x)取得最大值﹑最小值的自变量x的集合,并分别写出最大值﹑最小值是什么;
(2)函数f(x)的图象经过怎样的平移可使其对应的函数成为偶函数?请写出一种正确的平移方法,并说明理由;
(3)求函数f(x)在区间
【答案】分析:(1)利用正弦函数的最值,求出函数的最大值、最小值及取得最大值、最小值的对应自变量x取值集合;
(2)根据左加右减法则和诱导公式,对解析式进行变形即可;
(3)由x得范围求出
范围,根据正弦函数的性质求出最大值、最小值,即求出函数的值域.
解答:解:(1)当
,即
(k∈z)时,
此时sin
=1,f(x)取得最大值是2,
使f(x)取得最大值的自变量x的集合是{x|
,k∈z},
当
,即
(k∈z)时,
此时sin
=-1,f(x)取得最小值是-2,
使f(x)取得最小值的自变量x的集合是{x|
,k∈z},
(2)把函数f(x)的图象向左平移
个单位长度,可使其对应的函数g(x)成为偶函数;
因为
=
,所以g(x)为偶函数.
(或:函数f(x)的图象向右平移
个单位长度)
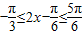
(3)因为
,即
,
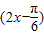
当
,即
时,
;
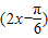
当
,即
时,
;
所以,函数f(x)在区间
上的值域是
.
点评:本题主要考查复合函数的单调性,三角函数图象的变换,关键是利用正弦函数的单调性、最值,考查整体思考和计算能力.
(2)根据左加右减法则和诱导公式,对解析式进行变形即可;
(3)由x得范围求出
解答:解:(1)当
此时sin
使f(x)取得最大值的自变量x的集合是{x|
当
此时sin
使f(x)取得最小值的自变量x的集合是{x|
(2)把函数f(x)的图象向左平移
因为
(或:函数f(x)的图象向右平移
(3)因为
当
当
所以,函数f(x)在区间
点评:本题主要考查复合函数的单调性,三角函数图象的变换,关键是利用正弦函数的单调性、最值,考查整体思考和计算能力.
练习册系列答案
相关题目