题目内容

中,分别为角的对边,向量,且

(Ⅰ)求角的大小; 

(Ⅱ)若,求的值.

(Ⅰ) 或  ;  (Ⅱ)

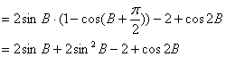
解:(1)

   ,                          …………………………4分

因为

所以 或                                      …………………………6分

(2)在中,因为b<a,所以                  …………………………8分

由余弦定理

                                        ………………………10分                                  

所以,                                     …………………………12分

练习册系列答案
相关题目

违法和不良信息举报电话:027-86699610 举报邮箱:58377363@163.com

精英家教网