题目内容
若向量
【答案】分析:本题考查的知识点是平面向量数量积表示两个向量的夹角,
=(x,2x),
=(-3x,2),且
的夹角为钝角,结合数量积表示两个向量的夹角,我们可以得到一个关于x的不等式,解不等式即可得到x的取值范围,但要注意,
与
反向的排除.
解答:解:∵
的夹角θ为钝角
又∵向量
=(x,2x),
=(-3x,2),
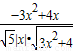
∴cosθ=
=
<0
即-3x2+4x<0
解x<0,或x>
又∵当x=-
时,
与
反向,不满足条件
故满足条件的x的取值范围是(-∞,-
)∪(-
,0)∪(
,+∝)
故答案为:(-∞,-
)∪(-
,0)∪(
,+∝)
点评:本题是一个易错题,容易只由
,
的夹角为钝角得到
,而忽视了
不是
夹角为钝角的充要条件,因为
,
的夹角为180°时也有
,从而扩大x的范围,导致错误.
解答:解:∵
又∵向量
∴cosθ=
即-3x2+4x<0
解x<0,或x>
又∵当x=-
故满足条件的x的取值范围是(-∞,-
故答案为:(-∞,-
点评:本题是一个易错题,容易只由
练习册系列答案
相关题目