题目内容
已知椭圆C:(Ⅰ)求椭圆C的方程;
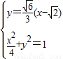
(Ⅱ)过点N(
【答案】分析:(I)利用椭圆的性质即可得出;
(II)设A(x1,y1),B(x2,y2),由题意可得直线l的方程为:
.与椭圆的方程联立得到根与系数的关系,再利用向量的数量积即可得出.
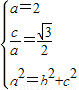
解答:解:(Ⅰ)由题意可知,
,解得
,
∴椭圆的方程为
.
(Ⅱ)设A(x1,y1),B(x2,y2),
由题意可得直线l的方程为:
.
l联立
消去y得:
,
∴
,x1x2=
.
∴
=x1x2+y1y2=
=
-
+
=
=0.
∴
.
点评:熟练掌握椭圆的性质、直线与椭圆相交问题转化为方程联立得到根与系数的关系、向量的数量积等是解题的关键.
(II)设A(x1,y1),B(x2,y2),由题意可得直线l的方程为:
解答:解:(Ⅰ)由题意可知,
∴椭圆的方程为
(Ⅱ)设A(x1,y1),B(x2,y2),
由题意可得直线l的方程为:
l联立
∴
∴
∴
点评:熟练掌握椭圆的性质、直线与椭圆相交问题转化为方程联立得到根与系数的关系、向量的数量积等是解题的关键.
练习册系列答案
相关题目