题目内容
已知函数f(x)=a•bx的图象过点A(0,1)和B(3,27)(1)求函数f(x)的解析式;
(2)在数列{an}中,已知a1=f(2),an+1=2an+f(n)(其中n∈N*),求{an}的通项公式.
【答案】分析:(1)把点A(0,1)和B(3,27)代入函数解析式可求a,b进而可求函数f(x)的解析式
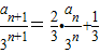
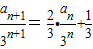
(2)由已知可得
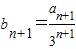
,令
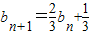
,则可得
,结合等比数列的通项公式可求bn,进而可求an
解答:解:(1)由函数f(x)=a•bx的图象过点A(0,1)和B(3,27)
可得a•b=1,a•b3=27
∴a=1,b=3∴f(x)=3x
(2)由a1=f(2)=9,an+1=2an+f(n)=2an+3n
∴
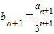
令
,则b1=3,
∴
,b1-1=2
∴{bn-1}是以2为首项以
为公比的等比数列
由等比数列的通项公式可得,
×2=
∴an=3n+3×2n
点评:本题以指数函数的解析式的求解为切入点,主要考查了利用数列的递推公式二次构造等比数列求解数列的通项公式,解题的关键变形是
;
,b1-1=2.
(2)由已知可得
解答:解:(1)由函数f(x)=a•bx的图象过点A(0,1)和B(3,27)
可得a•b=1,a•b3=27
∴a=1,b=3∴f(x)=3x
(2)由a1=f(2)=9,an+1=2an+f(n)=2an+3n
∴
令
∴
∴{bn-1}是以2为首项以
由等比数列的通项公式可得,
∴an=3n+3×2n
点评:本题以指数函数的解析式的求解为切入点,主要考查了利用数列的递推公式二次构造等比数列求解数列的通项公式,解题的关键变形是
练习册系列答案
相关题目