题目内容
已知函数f(x)=(a-3b+9)ln(x+3)+(1)当a>0且a≠1,f'(1)=0时,试用含a的式子表示b,并讨论f(x)的单调区间;
(2)若f'(x)有零点,f'(3)≤
①求f(x)的表达式;
②当x∈(-3,2)时,求函数y=f(x)的图象与函数y=f'(x)的图象的交点坐标.
【答案】分析:(1)此题考查的是函数的单调性和导数知识的综合问题.在解答时应首先考虑函数的定义域优先原则求出定义域,然后对函数求导,由导函数小于或小于零,即可获得解答.
(2)①由(1)及
又由|x|≥2(x>-3)有f'(x)≥0知f'(x)的零点在[-2,2]内,设g(x)=x2+bx+a,建立关于a,b的不等关系,结合(i)解得a,b.从而写出f(x)的表达式;
②又设φ(x)=f(x)-f'(x),先求φ(x)与x轴在(-3,2)的交点,再利用导数研究其单调性,得出φ(x)与x轴有唯一交点(-2,0),即f(x)与f'(x)的图象在区间(-3,2)上的唯一交点坐标为(-2,16)为所求.
解答:解:(1)
(x>-3)…(2分)
由f'(1)=0⇒b=-a-1,故
0<a<1时
由f'(x)>0得f(x)的单调增区间是(-3,a),(1,+∞)
由f'(x)<0得f(x)单调减区间是(a,1)
同理a>1时,f(x)的单调增区间(-3,1),(a,+∞),单调减区间为(1,a)…(5分)
(2)①由(1)及
(i)
又由|x|≥2(x>-3)有f'(x)≥0知f'(x)的零点在[-2,2]内,设g(x)=x2+bx+a,
则
,
由b2-4a≥0结合(i),解得b=-4,a=4…(8分)
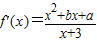
∴
…(9分)
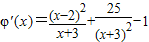
②又设φ(x)=f(x)-f'(x),先求φ(x)与x轴在(-3,2)的交点
∵
,由-3<x<2得 0<(x+3)2<25
故φ'(x)>0,φ(x)在(-3,2)单调递增
又φ(-2)=16-16=0,故φ(x)与x轴有唯一交点(-2,0)
即f(x)与f'(x)的图象在区间(-3,2)上的唯一交点坐标为(-2,16)为所求 …(13分)
点评:此题考查的是函数的单调性和导数知识的综合问题.在解答过程当中充分体现了定义于优先的原则、求导的思想、问题转化的思想.值得同学们体会反思.
(2)①由(1)及
②又设φ(x)=f(x)-f'(x),先求φ(x)与x轴在(-3,2)的交点,再利用导数研究其单调性,得出φ(x)与x轴有唯一交点(-2,0),即f(x)与f'(x)的图象在区间(-3,2)上的唯一交点坐标为(-2,16)为所求.
解答:解:(1)
由f'(1)=0⇒b=-a-1,故
由f'(x)>0得f(x)的单调增区间是(-3,a),(1,+∞)
由f'(x)<0得f(x)单调减区间是(a,1)
同理a>1时,f(x)的单调增区间(-3,1),(a,+∞),单调减区间为(1,a)…(5分)
(2)①由(1)及
又由|x|≥2(x>-3)有f'(x)≥0知f'(x)的零点在[-2,2]内,设g(x)=x2+bx+a,
则
由b2-4a≥0结合(i),解得b=-4,a=4…(8分)
∴
②又设φ(x)=f(x)-f'(x),先求φ(x)与x轴在(-3,2)的交点
∵
故φ'(x)>0,φ(x)在(-3,2)单调递增
又φ(-2)=16-16=0,故φ(x)与x轴有唯一交点(-2,0)
即f(x)与f'(x)的图象在区间(-3,2)上的唯一交点坐标为(-2,16)为所求 …(13分)
点评:此题考查的是函数的单调性和导数知识的综合问题.在解答过程当中充分体现了定义于优先的原则、求导的思想、问题转化的思想.值得同学们体会反思.
练习册系列答案
相关题目
已知函数f(x)=x2-bx的图象在点A(1,f(1))处的切线l与直线3x-y+2=0平行,若数列{
}的前n项和为Sn,则S2010的值为( )
| 1 |
| f(n) |
A、
| ||
B、
| ||
C、
| ||
D、
|