题目内容
已知函数f(x)=Asin(ωx+φ),x∈R(其中A>0,ω>0,0<φ<(Ⅰ)求f(x)的解析式;
(Ⅱ)当
【答案】分析:(Ⅰ)由最低点求出A,利用周期求出ω,图象上一个最低点为
.代入函数解析式求出φ,然后求f(x)的解析式;
(Ⅱ)当
,
,然后求出求f(x)的最值.
解答:解:(Ⅰ)由最低点为
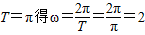
由
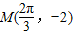
由点
在图象上得
即
所以
故
又
,所以
所以
(Ⅱ)因为
,可得
所以当
时,即x=0时,f(x)取得最小值1;
当
,即
时,f(x)取得最大值
;
点评:本题考查函数y=Asin(ωx+φ)的图象变换,由y=Asin(ωx+φ)的部分图象确定其解析式,考查计算能力,是基础题.
(Ⅱ)当
解答:解:(Ⅰ)由最低点为
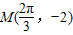
由点
所以
又
(Ⅱ)因为
所以当
当
点评:本题考查函数y=Asin(ωx+φ)的图象变换,由y=Asin(ωx+φ)的部分图象确定其解析式,考查计算能力,是基础题.
练习册系列答案
相关题目