题目内容
已知函数f(x)=lnx-
。
(Ⅰ)讨论函数f(x)的单调区间;
(Ⅱ)若2xlnx≤2mx2-1在[1,e]恒成立,求m的取值范围。
(Ⅰ)讨论函数f(x)的单调区间;
(Ⅱ)若2xlnx≤2mx2-1在[1,e]恒成立,求m的取值范围。
解:(Ⅰ)
,
当a<0时,
单调递减,
单调递增;
当a≥0时,
单调递增。
(Ⅱ)
,
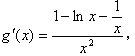
令已知函数
,

,
单调递减,
单调递增。
,
,
g(x)在
单调递减,
在[1,e],
,
若
恒成立,则
。
当a<0时,
当a≥0时,
(Ⅱ)
令已知函数
g(x)在
在[1,e],
若
练习册系列答案
相关题目