题目内容
已知函数f(x)=(1)判断函数f(x)在(-∞,-1)上的单调性,并给出证明;
(2)是否存在负数x,使得f(x)=
【答案】分析:(1)先把f(x)化简,然后用定义给出证明;
(2)由f(x)的单调性求出f(x)在x∈(-∞,-1)∪(-1,0)上的值域,求出3x在x∈(-∞,-1)∪(-1,0)上的值域,若两值域交集非空,则存在x,否则不存在.
解答:解:(1)
,∴f(x)在(-∞,-1)上为减函数,
下面用定义给出证明:
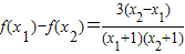
设x1<x2<-1,则
,
∵x2-x1>0,x1+1<0,x2+1<0,∴f(x1)-f(x2)>0,即f(x1)>f(x2),
∴f(x)在(-∞,-1)上为减函数.
(2)∵x<0时,
,
由(1)知,f(x)在(-∞,-1),(-1,+∞)上为减函数,
当x<-1时,f(x)<-1,当-1x<0时,x>2,故当x<0时,f(x)>2或f(x)<-1,
故不存在负数x,使得f(x)=
成立.
点评:本题考查函数的单调性及其应用,注意体会定义在判断单调性中的应用.
(2)由f(x)的单调性求出f(x)在x∈(-∞,-1)∪(-1,0)上的值域,求出3x在x∈(-∞,-1)∪(-1,0)上的值域,若两值域交集非空,则存在x,否则不存在.
解答:解:(1)
下面用定义给出证明:
设x1<x2<-1,则
∵x2-x1>0,x1+1<0,x2+1<0,∴f(x1)-f(x2)>0,即f(x1)>f(x2),
∴f(x)在(-∞,-1)上为减函数.
(2)∵x<0时,
由(1)知,f(x)在(-∞,-1),(-1,+∞)上为减函数,
当x<-1时,f(x)<-1,当-1x<0时,x>2,故当x<0时,f(x)>2或f(x)<-1,
故不存在负数x,使得f(x)=
点评:本题考查函数的单调性及其应用,注意体会定义在判断单调性中的应用.
练习册系列答案
相关题目
已知函数f(x)=x2-bx的图象在点A(1,f(1))处的切线l与直线3x-y+2=0平行,若数列{
}的前n项和为Sn,则S2010的值为( )
| 1 |
| f(n) |
A、
| ||
B、
| ||
C、
| ||
D、
|