题目内容
已知实数满足等式,则下列五个关系式:
① ② ③ ④ ⑤
其中可能成立的关系为_______________________(用编号作答)
___①、②、⑤____;
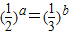
已知实数a,b满足等式()a=()b,则下列五个关系式:
①0<b<a;②a<b<0;③0<a<b;④b<a<0;⑤a=b.
其中不可能成立的关系式为______________.