题目内容
已知圆C:x2+(y-1)2=1和圆C1:(x-2)2+(y-1)2=1,现在构造一系列的圆C1,C2,C3,…,Cn,…,使圆Cn+1同时与Cn和圆C都相切,并都与OX轴相切.回答:(1)求圆Cn的半径rn;
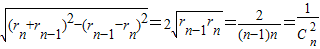
(2)证明:两个相邻圆Cn-1和Cn在切点间的公切线长为
(3)求和
【答案】分析:(1)利用ECn-1=AB=ACn+BCn,建立等式,可得{
}成等差数列,由此可得结论;
(2)利用勾股定理可求两个相邻圆Cn-1和Cn在切点间的公切线长;
(3)利用裂项法求和,再求极限即可.
解答:(1)解:如图,在直角梯形ODCn-1C中,AC=1-rn,CCn=1+rn,CCn-1=1+rn-1,CnCn-1=rn+rn-1.Cn-1B=rn-1-rn.…(2分)
∴有ACn=
,
,
,ECn-1=AB=ACn+BCn
∴
∴
.即
.…(4分)
由此可得
.
∴{
}成等差数列,…(6分)
∵r1=1,∴
,∴
.…(8分)

(2)证明:公切线长为ln=
.…(11分)
(3)解:
=
=
.
∴
=2.…(14分)
点评:本题考查等差数列的判定,考查数列的通项与求和,考查直线与圆的位置关系,考查极限的求解,属于中档题.
(2)利用勾股定理可求两个相邻圆Cn-1和Cn在切点间的公切线长;
(3)利用裂项法求和,再求极限即可.
解答:(1)解:如图,在直角梯形ODCn-1C中,AC=1-rn,CCn=1+rn,CCn-1=1+rn-1,CnCn-1=rn+rn-1.Cn-1B=rn-1-rn.…(2分)
∴有ACn=
∴
∴
由此可得
∴{
∵r1=1,∴
(2)证明:公切线长为ln=
(3)解:
∴
点评:本题考查等差数列的判定,考查数列的通项与求和,考查直线与圆的位置关系,考查极限的求解,属于中档题.
练习册系列答案
相关题目