搜索
题目内容
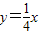
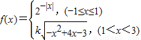
直线
与函数
(
,且
)的图像有两个公共点,则实数
的取值范围是
.
试题答案
相关练习册答案
练习册系列答案
快乐假期作业延边教育出版社系列答案
暑假生活重庆出版社系列答案
暑假星生活黄山书社系列答案
阳光假期年度总复习系列答案
暑假作业本希望出版社系列答案
快乐假期阳光出版社系列答案
学年复习一本通学习总动员期末暑假衔接光明日报出版社系列答案
快乐假期衔接优化训练北方妇女儿童出版社系列答案
暑假作业甘肃少年儿童出版社系列答案
学业加油站赢在假期济南出版社系列答案
相关题目
已知函数f(x),对任意的实数x满足f(x-2)=f(x+2),且当x∈[-1,3)时,
,若直线
与函数f(x)的图象有3个公共点,则实数k的取值范围为
.
已知函数f(x),对任意的实数x满足f(x-2)=f(x+2),且当x∈[-1,3)时,
,若直线
与函数f(x)的图象有3个公共点,则实数k的取值范围为
.
已知函数f(x),对任意的实数x满足f(x-2)=f(x+2),且当x∈[-1,3)时,
,若直线
与函数f(x)的图象有3个公共点,则实数k的取值范围为
.
直线
与函数
(
,且
)的图像有两个公共点,则实数
的取值范围是
.
关 闭
试题分类
高中
数学
英语
物理
化学
生物
地理
初中
数学
英语
物理
化学
生物
地理
小学
数学
英语
其他
阅读理解答案
已回答习题
未回答习题
题目汇总
试卷汇总
练习册解析答案