题目内容
已知函数f(x)=x2+
(x≠0,常数a∈R),若函数f(x)在x∈ [2,+∞)上是单调递增的,求a的取值范围。
解:
,要使f(x)在[2,+∞)上是单调递增的,
则f′(x)≥0在x∈[2,+∞)时恒成立,
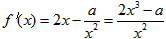
即
在x∈[2,+∞)时恒成立,
∵x2>0,
∴2x3-a≥0,
∴a≤2x3在x∈[2,+∞)上恒成立,
∴a≤(2x3)min,
∵x∈ [2,+∞),y=2x3是单调递增的,
∴(2x3)min=16,
∴a≤16,当a=16时,有且只有f′(2)=0,
∴a的取值范围是a≤16。
则f′(x)≥0在x∈[2,+∞)时恒成立,
即
∵x2>0,
∴2x3-a≥0,
∴a≤2x3在x∈[2,+∞)上恒成立,
∴a≤(2x3)min,
∵x∈ [2,+∞),y=2x3是单调递增的,
∴(2x3)min=16,
∴a≤16,当a=16时,有且只有f′(2)=0,
∴a的取值范围是a≤16。
练习册系列答案
相关题目
| π |
| 2 |
A、f(x)=2sin(πx+
| ||
B、f(x)=2sin(2πx+
| ||
C、f(x)=2sin(πx+
| ||
D、f(x)=2sin(2πx+
|