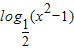
题目内容
函数
【答案】分析:无理式被开方数大于等于0,对数的真数大于0,建立关系式,解之即可.
解答:解:要使函数有意义:
≥0,
即:
≥
可得 0<x2-1≤1
解得:x∈
故答案为:
点评:本题主要考查了对数函数的定义域,考查学生发现问题解决问题的能力,是基础题.
解答:解:要使函数有意义:
即:
可得 0<x2-1≤1
解得:x∈
故答案为:
点评:本题主要考查了对数函数的定义域,考查学生发现问题解决问题的能力,是基础题.
练习册系列答案
相关题目