题目内容

在平面直角坐标系中,已知焦距为4的椭圆左、右顶点分别为A、B,椭圆C的右焦点为F,
过F作一条垂直于x轴的直线与椭圆相交于R、S,若线段RS的长为
(1)求椭圆C的方程;
(2)设Q(t,m)是直线x=9上的点,直线QA、QB与椭圆C分别交于点M、N,求证:直线MN必过x轴上的一定点,并求出此定点的坐标.
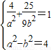
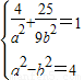
【答案】分析:(1)依题意,椭圆过点,故,由此能求出椭圆C的方程.
(2)设Q(9,m),直线QA的方程为y=,代入椭圆方程,得(80+m2)x2+6x+9m2-720=0,由此入手能够证明直线MN必过x轴上的定点(1,0).
解答:解:(1)依题意,椭圆过点

解得.…(3分)
椭圆C的方程为.…(4分)
(2)设Q(9,m),直线QA的方程为y=,…(5分)
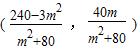
代入椭圆方程,得(80+m2)x2+6x+9m2-720=0,…(6分)
设M(x1,y1),则,…(7分)

故点M的坐标为.…(8分)
同理,直线QB的方程为
代入椭圆方程,得(20+m2)x2-6x+9m2-180=0,
设N(x2,y2),


得点N的坐标为.…(10分)
①若时,
直线MN的方程为x=1,与x轴交于(1,0)点;
②若m2≠40,直线MN的方程为
令y=0,解得x=1.
综上所述,直线MN必过x轴上的定点(1,0).…(12分)
点评:本题考查椭圆方程的求法,考查直线必过某定点的证明.解题时要认真审题,仔细解答,注意直线与椭圆位置关系的灵活运用.
练习册系列答案
相关题目

违法和不良信息举报电话:027-86699610 举报邮箱:58377363@163.com

精英家教网