题目内容
下列命题:(1)若不等式|x-4|+|x-3|<a的解集非空,则必有a≥1;
(2)函数y=sinxcosx+cos2x最小正周期是2π
(3)函数y=f(a+x)与函数y=f(a-x)的图象关于直线x=a对称;
(4)若f(x+a)=f(a-x),则函数y=f(x)的图象关于直线x=a对称.
其中错误的命题的序号是 (把你认为错误的命题的序号都填上).
【答案】分析:(1)利用绝对值不等式的性质判断.(2)利用三角函数的图象和性质判断.
(3)利用函数图象的平移关系判断函数的对称性.(4)利用函数对称性的定义进行判断.
解答:解:(1)根据绝对值不等式的性质可知不等式|x-4|+|x-3|≥1,所以要使|x-4|+|x-3|<a的解集非空,则必有a>1,所以(1)错误.
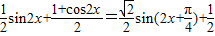
(2)函数y=sinxcosx+cos2x=
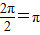
,所以周期T=
,所以(2)错误.
(3)因为y=f(a-x)=f(a+(-x)),所以设y=F(x)=f(a+x),F(-x)=f(a+(-x)),所以F(x)是偶函数,所以图象关于y轴对称,所以(3)错误.
(4)根据函数对称性的公式可知若f(x+a)=f(a-x),则函数y=f(x)的图象关于直线x=a对称,所以(4)正确.
故答案为:(1)(2)(3).
点评:本题主要考查与函数有关的命题的真假判断,综合性较强,要求熟练掌握函数的性质,以及函数性质的综合应用.
(3)利用函数图象的平移关系判断函数的对称性.(4)利用函数对称性的定义进行判断.
解答:解:(1)根据绝对值不等式的性质可知不等式|x-4|+|x-3|≥1,所以要使|x-4|+|x-3|<a的解集非空,则必有a>1,所以(1)错误.
(2)函数y=sinxcosx+cos2x=
(3)因为y=f(a-x)=f(a+(-x)),所以设y=F(x)=f(a+x),F(-x)=f(a+(-x)),所以F(x)是偶函数,所以图象关于y轴对称,所以(3)错误.
(4)根据函数对称性的公式可知若f(x+a)=f(a-x),则函数y=f(x)的图象关于直线x=a对称,所以(4)正确.
故答案为:(1)(2)(3).
点评:本题主要考查与函数有关的命题的真假判断,综合性较强,要求熟练掌握函数的性质,以及函数性质的综合应用.
练习册系列答案
相关题目