题目内容
已知函数
【答案】分析:先将x2+2x看作整体,由u=x2+2x的单调性得到最值,再利用复合函数的单调性求得函数
的最值.
解答:解:解:令u=x2+2x=(x+1)2-1x∈[-
,0](1分)
∴当x=-1时,umin=-1当x=0时,umax=0(3分)
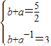
1)当a>1时
解得
2)当0<a<1时
解得
综上得
或
点评:本题通过最值来考查复合函数的单调性的研究.
解答:解:解:令u=x2+2x=(x+1)2-1x∈[-
∴当x=-1时,umin=-1当x=0时,umax=0(3分)
1)当a>1时
2)当0<a<1时
综上得
点评:本题通过最值来考查复合函数的单调性的研究.
练习册系列答案
相关题目
已知函数f(x)=3•2x-1,则当x∈N时,数列{f(n+1)-f(n)}( )
| A、是等比数列 | B、是等差数列 | C、从第2项起是等比数列 | D、是常数列 |