题目内容
设f(x)=ln(x+1)+ax,(a∈R且a≠0).(Ⅰ)讨论函数f(x)的单调性;
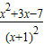
(Ⅱ)若a=1,证明:x∈(0,5)时,
【答案】分析:(Ⅰ)确定函数的定义域,求导函数,分类讨论,利用导数的正负,即可求得函数的单调区间;
(Ⅱ)a=1,f(x)=ln(x+1)+x,
等价于ln(x+1)+
<0,求出函数的最值,即可求得结论.
解答:(Ⅰ)解:函数的定义域为(-1,+∞)
求导函数可得f′(x)=
当a≥0时,
,函数单调递增,单调增区间为(-1,+∞);
当a<0时,
,函数在(-1,-1-
)内单调递增,单调增区间为(-1,-1-
)
,函数在(-1-
,+∞)内单调递减,单调减区间为(-1-
,+∞);
(Ⅱ)证明:若a=1,f(x)=ln(x+1)+x,
等价于ln(x+1)+
<0
令g(x)=ln(x+1)+
,则g′(x)=
∵x∈(0,5),∴函数在(0,
)上单调递增,在(
,5)上单调递减
∴g(x)max=ln(
+1)+
<0
∴x∈(0,5)时,
成立.
点评:本题考查导数知识的运用,考查函数的单调性,考查不等式的证明,考查函数的最值,属于中档题.
(Ⅱ)a=1,f(x)=ln(x+1)+x,
解答:(Ⅰ)解:函数的定义域为(-1,+∞)
求导函数可得f′(x)=
当a≥0时,
当a<0时,
(Ⅱ)证明:若a=1,f(x)=ln(x+1)+x,
令g(x)=ln(x+1)+
∵x∈(0,5),∴函数在(0,
∴g(x)max=ln(
∴x∈(0,5)时,
点评:本题考查导数知识的运用,考查函数的单调性,考查不等式的证明,考查函数的最值,属于中档题.
练习册系列答案
相关题目