题目内容
已知抛物线x2=4y的焦点为F,A,B是抛物线上的两动点,且
,过A、B两点分别作抛物线的切线,设其交点为M,
(Ⅰ)证明
为定值;
(Ⅱ)设△ABM的面积为S,写出S=f(λ)的表达式,并求S的最小值。
(Ⅰ)证明
(Ⅱ)设△ABM的面积为S,写出S=f(λ)的表达式,并求S的最小值。
解:(Ⅰ)由已条件,得F(0,1),λ>0,
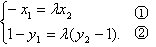
设
,由
,即得
,
∴
,
将①式两边平方并把
代入得
, ③
解②、③式得
,且有
,
抛物线方程为
,求导得
,
所以过抛物线上A、B两点的切线方程分别是
,
即
,
解出两条切线的交点M的坐标为
,
所以![]()
![]()
所以
为定值,其值为0;
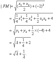
(Ⅱ)由(Ⅰ)知在△ABM中,FM⊥AB,因而
,![]()
因为|AF|、|BF|分别等于A、B到抛物线准线y=-1的距离,
所以 |AB|=|AF|+|BF|=y1+y2+2=
,
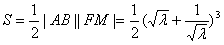
于是
,
由
,
且当λ=1时,S取得最小值4。
练习册系列答案
相关题目