题目内容
已知数列{an}满足a1=1,且an=n(an+1-an)(n∈N*),则an=( )A.n-1
B.n+1
C.n
D.
【答案】分析:先整理an=n(an+1-an),推出an+1与an的关系利用累积法确定答案.
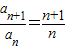
解答:解:整理an=n(an+1-an)得
∴
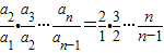
∴
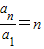
∴an=na1=n
故选C.
点评:本题主要考查了数列的递推式.解题的关键是从递推式中找到规律,进而求得数列的通项公式.
解答:解:整理an=n(an+1-an)得
∴
∴
∴an=na1=n
故选C.
点评:本题主要考查了数列的递推式.解题的关键是从递推式中找到规律,进而求得数列的通项公式.
练习册系列答案
相关题目