题目内容
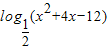
函数y=
【答案】分析:首先根据函数的解析式求出函数的定义域,再根据二次函数和对数函数的性质,得到内层与外层函数的单调性,进而结合复合函数“同增异减”的原则得到答案.
解答:解:根据对数函数的定义可得:函数y=
的定义域为:(-∞,-6)∪(2,+∞)
令t=x2+4x-12,则
,
由对数函数的性质可得:函数
在定义域内是减函数,
由二次函数的性质可得:t=x2+4x-12的单调递减区间是(-∞,-6),单调递增区间是(2,+∞),
再根据复合函数的单调性是“同增异减”,
所以函数
的单调递增区间是(-∞,-6).
故答案为:(-∞,-6).
点评:解决此类问题的关键是熟练掌握对数函数、二次函数的有关性质,考查复合函数的单调性,而复合函数单调性满足“同增异减”的原则,这也是解答本题的关键,解答时易忽略对数函数的定义域.
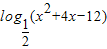
解答:解:根据对数函数的定义可得:函数y=
令t=x2+4x-12,则
由对数函数的性质可得:函数
由二次函数的性质可得:t=x2+4x-12的单调递减区间是(-∞,-6),单调递增区间是(2,+∞),
再根据复合函数的单调性是“同增异减”,
所以函数
故答案为:(-∞,-6).
点评:解决此类问题的关键是熟练掌握对数函数、二次函数的有关性质,考查复合函数的单调性,而复合函数单调性满足“同增异减”的原则,这也是解答本题的关键,解答时易忽略对数函数的定义域.
练习册系列答案
相关题目