题目内容
已知数列{an}满足
,
,
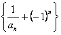
(1)试判断数列
是否为等比数列,并说明理由;
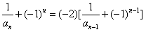
(2)设
,求数列{bn}的前n项和Sn;
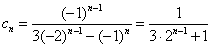
(3)设
,数列{cn}的前n项和为Tn,求证:对任意的n∈N*,
.
(1)试判断数列
(2)设
(3)设
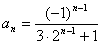
解:(1)
,
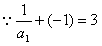
∴
,
又
,
∴数列
是首项为3,公比为-2的等比数列.
(2)依(1)的结论有
,即
,
,
。
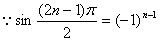
(3)
,
∴
,
当n≥3时,则


,
∴对任意的n∈N*,
.
∴
又
∴数列
(2)依(1)的结论有
(3)
∴
当n≥3时,则
∴对任意的n∈N*,
练习册系列答案
相关题目