题目内容
圆
与直线
有公共点的充分不必要条件是 (
)
A.
B.![]()
C.
D.![]()
【答案】
B.
【解析】
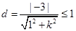
试题分析:圆
与直线
有公共点,则
,即
或
,那么其充分不必要条件选B.
考点:1.点到直线的距离;2.充分不必要条件.
练习册系列答案
相关题目
圆x2+y2=1与直线y=kx-3有公共点的充分不必要条件是( )
A、k≤-2
| ||||
B、k≤-2
| ||||
| C、k≥2 | ||||
D、k≤-2
|