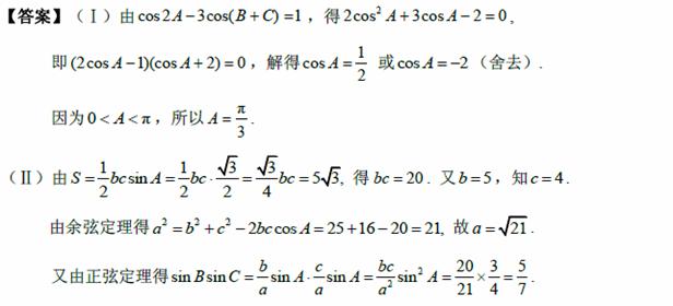
题目内容
在△中,角,,对应的边分别是,,. 已知.
(Ⅰ)求角A的大小;
(Ⅱ)若△的面积,,求的值.
在中,角,,对应的边分别是,,。已知。
(I)求角的大小;
(II)若的面积,,求的值。
在中,角,,对应的边分别是,已知.
(1)求角的大小;
(2)若的面积,求的值.
在△ABC中,角A,B,C的对应边分别为a,b,c,若,则角B的值为( )
A. B. C.或 D.或
在中,角、、对应的边为、、,若,,,则的大小为( )
在△ABC中,角A,B,C的对应边分别为,若,则角B的值为( )
A. B. C.或 D.或