题目内容
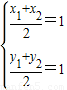
已知圆x2+y2=25,△ABC内接于此圆,A点的坐标(3,4),O为坐标原点.(1)若△ABC的重心是
(2)若直线AB与直线AC的倾斜角互补,求证:直线BC的斜率为定值.
【答案】分析:(1)要求三角形顶点的坐标,可先将它们的坐标设出来,根据重心的性质,我们不难求出BC边上中点D的坐标,及BC所在直线的斜率,代入直线的点斜式方程即可求出答案.
(2)若直线AB与直线AC的倾斜角互补,则他们的斜率互为相反数,又由他们都经过A点,则可以设出他们的点斜式方程,代入圆方程后,求出BC两点的坐标,代入斜率公式,即可求证出正确的结论.
解答:解:设B(x1,y1),C(x2,y2),
由题意可得:
即
,
又
,
相减得:(x1+x2)(x1-x2)+(y1+y2)(y1-y2)=0,
∴
∴直线BC的方程为y-1=-(x-1),即x+y-2=0
(2)设AB:y=k(x-3)+4,代入圆的方程整理得:
(1+k2)x2+(8k-6k2)x+9k2-24k-9=0
∵3,x1是上述方程的两根,
∴
同理可得:
∴
点评:三角形重心的坐标是三角形三个顶点坐标的平均数,由重心坐标及任意两顶点的坐标,构造方程易求第三个顶点的坐标;已知三个顶点的坐标,代入重心坐标公式,即得重心坐标;如果已知重心坐标和其中一个顶点的坐标,则我们只能求出该顶点对边上中点的坐标.
(2)若直线AB与直线AC的倾斜角互补,则他们的斜率互为相反数,又由他们都经过A点,则可以设出他们的点斜式方程,代入圆方程后,求出BC两点的坐标,代入斜率公式,即可求证出正确的结论.
解答:解:设B(x1,y1),C(x2,y2),
由题意可得:
即
又
相减得:(x1+x2)(x1-x2)+(y1+y2)(y1-y2)=0,
∴
∴直线BC的方程为y-1=-(x-1),即x+y-2=0
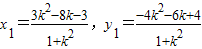
(2)设AB:y=k(x-3)+4,代入圆的方程整理得:
(1+k2)x2+(8k-6k2)x+9k2-24k-9=0
∵3,x1是上述方程的两根,
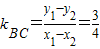
∴
同理可得:
∴
点评:三角形重心的坐标是三角形三个顶点坐标的平均数,由重心坐标及任意两顶点的坐标,构造方程易求第三个顶点的坐标;已知三个顶点的坐标,代入重心坐标公式,即得重心坐标;如果已知重心坐标和其中一个顶点的坐标,则我们只能求出该顶点对边上中点的坐标.
练习册系列答案
相关题目