题目内容
已知数列{an}中,a1=2,(Ⅰ)求{an}的通项公式;
(Ⅱ)若数列{bn}中,b1=2,
【答案】分析:(Ⅰ)先对
进行整理可得到
,即数列
是首项为
,公比为
的等比数列,再由等比数列的通项公式可得到
,进而得到
.
(Ⅱ)用数学归纳法证明.当n=1时可得到b1=a1=2满足条件,然后假设当n=k时满足条件进而得到
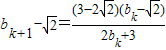
当n=k+1时再对
进行整理得到

=
,进而可得证.
解答:解:(Ⅰ)由题设:
=
=
,
.
所以,数列
是首项为
,公比为
的等比数列,
,
即an的通项公式为
,n=1,2,3,.
(Ⅱ)用数学归纳法证明.
(ⅰ)当n=1时,因
,b1=a1=2,所以
,结论成立.
(ⅱ)假设当n=k时,结论成立,即
,
也即
.
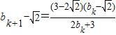
当n=k+1时,
=
=
,
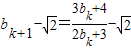
又
,
所以

=
.
也就是说,当n=k+1时,结论成立.
根据(ⅰ)和(ⅱ)知
,n=1,2,3,.
点评:本题主要考查求数列的通项公式的方法--构造法和数学归纳法的一般过程.考查综合运用能力和计算能力.
(Ⅱ)用数学归纳法证明.当n=1时可得到b1=a1=2满足条件,然后假设当n=k时满足条件进而得到
解答:解:(Ⅰ)由题设:
所以,数列
即an的通项公式为
(Ⅱ)用数学归纳法证明.
(ⅰ)当n=1时,因
(ⅱ)假设当n=k时,结论成立,即
也即
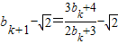
当n=k+1时,
又
所以
也就是说,当n=k+1时,结论成立.
根据(ⅰ)和(ⅱ)知
点评:本题主要考查求数列的通项公式的方法--构造法和数学归纳法的一般过程.考查综合运用能力和计算能力.
练习册系列答案
相关题目
已知数列{an}中,a1=1,2nan+1=(n+1)an,则数列{an}的通项公式为( )
A、
| ||
B、
| ||
C、
| ||
D、
|