题目内容
设函数f(x)=
【答案】分析:先由
计算
,然后再把
与0比较,代入到相应的函数解析式中进行求解.
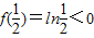
解答:解:∵
∴
故答案为:
.
点评:本题主要考查了分段函数的函数值的求解,解题的关键是计算出
后,代入到函数的解析式时,要熟练应用对数恒等式
.
解答:解:∵
∴
故答案为:
点评:本题主要考查了分段函数的函数值的求解,解题的关键是计算出
练习册系列答案
相关题目
设函数f(x)=log2x,则f′(x)等于( )
A、
| ||
B、
| ||
C、
| ||
D、
|