题目内容

已知函数是偶函数.

(1)求k的值;

(2)若方程有解,求m的取值范围.

 

【答案】

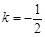
(1);(2).

【解析】

试题分析:(1)本题考查了函数的奇偶性,由求解的值;(2)将方程的解转化为的值域问题,涉及对数运算,体现了数形结合思想.

试题解析:(1)由函数是偶函数,可知.

.                       2分

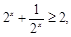
,

对一切恒成立.                           4分

                                    6分

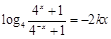
(2)由

.                           8分

                                   10分

.

故要使方程有解,的取值范围为.                  12分

考点:1.函数的奇偶性;2.函数的值域;3.数形结合思想.

 

练习册系列答案
相关题目

违法和不良信息举报电话:027-86699610 举报邮箱:58377363@163.com

精英家教网