题目内容
已知椭圆M的中心在原点,离心率为(1)求椭圆的方程;
(2)设P是椭圆M上的一点,且点P与椭圆M的两个焦点F1、F2构成一个直角三角形,若PF1>PF2,求
【答案】分析:(1)设出椭圆的方程,利用椭圆离心率为
,左焦点是F1(-2,0),求出几何量,即可得到椭圆的方程;
(2)分类讨论,求出PF1,PF2,即可求
的值.
解答:解:(1)设椭圆的方程为
(a>b>0),则
∵椭圆离心率为
,左焦点是F1(-2,0).
∴
,∴a=4,∴
=
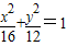
∴椭圆的方程为
;
(2)当PF2⊥x轴时,P的横坐标为2,其纵坐标为±3,∴
=
;
当PF1⊥PF2 时,设PF2=m,则PF1=2a-m=8-m,4>m>0,由勾股定理可得4c2=m2+(8-m)2,即m2-8m+24=0,方程无解
综上,
=
.
点评:本题考查椭圆的定义和标准方程,以及椭圆的简单性质的应用,考查分类讨论的数学思想,属于中档题.
(2)分类讨论,求出PF1,PF2,即可求
解答:解:(1)设椭圆的方程为
∵椭圆离心率为
∴
∴椭圆的方程为
(2)当PF2⊥x轴时,P的横坐标为2,其纵坐标为±3,∴
当PF1⊥PF2 时,设PF2=m,则PF1=2a-m=8-m,4>m>0,由勾股定理可得4c2=m2+(8-m)2,即m2-8m+24=0,方程无解
综上,
点评:本题考查椭圆的定义和标准方程,以及椭圆的简单性质的应用,考查分类讨论的数学思想,属于中档题.
练习册系列答案
相关题目