题目内容
已知圆C:x2+y2-4x-14y+45=0.(1)若M(x,y)为圆C上任一点,求
(2)已知点N(-6,3),直线kx-y-6k+3=0与圆C交于点A、B,当k为何值时
【答案】分析:(1)由
可得kx-y-6k+3=0,由题意可得
,解不等式可求
(2)设A(x1,y1),B(x2,y2),把直线kx-y-6k+3=0与椭圆方程联立,结合方程的思想可求k的范围,及x1+x2,x1x2,然后代入向量的数量积的坐标表示可求
,结合k的范围可求
解答:解:(1)由题意可得⊙C:(x-2)2+(y-7)2=8
由
可得kx-y-6k+3=0
∴

解可得
∴
(2)设A(x1,y1),B(x2,y2)
把直线kx-y-6k+3=0与椭圆方程联立可得(1+k2)x2-4(3k2+2k+1)x+12(3k2+4k+1)=0

△≥0可得
∴x1+x2=
,x1x2=
∵kx-6k+3=y
∴y1+y2=k(x1+x2)+6-12k,y1y2=(kx1+3-6k)(kx2+3-6k)
=(x1+6)(x2+6)+(y1-3)(y2-3)
=x1x2+6(x1+x2)+36+y1y2-3(y1+y2)+9
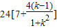
=
+36(1+k2)
=
=24
当且仅当
即k=1-
时
取到最小值
点评:本题主要考查了斜率的几何意义的应用,点到直线的距离公式的应用,直线与椭圆相交关系的综合应用,还考查了一定 的计算推理的能力
(2)设A(x1,y1),B(x2,y2),把直线kx-y-6k+3=0与椭圆方程联立,结合方程的思想可求k的范围,及x1+x2,x1x2,然后代入向量的数量积的坐标表示可求
解答:解:(1)由题意可得⊙C:(x-2)2+(y-7)2=8
由
∴
解可得
∴
(2)设A(x1,y1),B(x2,y2)
把直线kx-y-6k+3=0与椭圆方程联立可得(1+k2)x2-4(3k2+2k+1)x+12(3k2+4k+1)=0
△≥0可得
∴x1+x2=
∵kx-6k+3=y
∴y1+y2=k(x1+x2)+6-12k,y1y2=(kx1+3-6k)(kx2+3-6k)
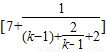
=x1x2+6(x1+x2)+36+y1y2-3(y1+y2)+9
=
=
=24
当且仅当
点评:本题主要考查了斜率的几何意义的应用,点到直线的距离公式的应用,直线与椭圆相交关系的综合应用,还考查了一定 的计算推理的能力
练习册系列答案
相关题目