题目内容
已知数列{an}的首项
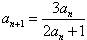
,
,n=1,2,…。
(1)求{an}的通项公式;
(2)证明:对任意x>0,
,n=1,2,…。
(3)证明:a1+a2+…+an>
。
(1)求{an}的通项公式;
(2)证明:对任意x>0,
(3)证明:a1+a2+…+an>
解:(1)∵
∴
∴
又
∴
是以
为首项,
公比的等比数列
∴
∴
。
(2)由(1)知






∴原不等式成立。
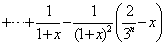
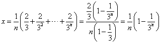
(3)由(2)知,对任意的x>0,有



∴取
则
∴原式不等式成立。
∴
∴
又
∴
∴
∴
(2)由(1)知
∴原不等式成立。
(3)由(2)知,对任意的x>0,有
∴取
则
∴原式不等式成立。
练习册系列答案
相关题目