题目内容

在平面直角坐标系中,已知点为动点,且直线与直线的斜率之积为.

(1)求动点的轨迹的方程;

(2)设过点的直线与曲线相交于不同的两点.若点轴上,且,求点的纵坐标的取值范围.

 

【答案】

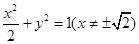
(1);(2).

【解析】

试题分析:本题主要考查椭圆的标准方程、直线方程、中点坐标公式等基础知识,突出解析几何的基本思想和方法的考查:如数形结合思想、分类讨论思想、坐标化方法等.第一问,设出动点坐标,利用斜率的关系列出表达式,整理出方程;第二问,先根据直线的斜率是否存在进行讨论,当斜率存在时,设出直线方程,因为相交,所以联立方程,消参,得到关于的方程,找到中点坐标,因为,所以找直线的垂直平分线,令,得到纵坐标,讨论的正负,利用基本不等式得到范围.

试题解析:(1)设动点的坐标为,依题意可知

整理得.                     3分

所以动点的轨迹的方程为.            5分

(2)当直线的斜率不存在时,满足条件的点的纵坐标为.       7分

当直线的斜率存在时,设直线的方程为.

代入并整理得,

 .   .           8分   

,则, .

的中点为,则

所以.                 10分

由题意可知

又直线的垂直平分线的方程为.

解得 .                         .   11分

时,因为,所以;      

时,因为,所以.   .   13分

综上所述,点纵坐标的取值范围是.                .   14分

考点:1.椭圆的标准方程;2.中点坐标公式;3.垂直平分线方程;4.基本不等式.

 

练习册系列答案
相关题目

违法和不良信息举报电话:027-86699610 举报邮箱:58377363@163.com

精英家教网