题目内容
已知抛物线y2=2px(p>0)的焦点F为双曲线
【答案】分析:根据抛物线y2=2px(p>0)的焦点F为双曲线
的一个焦点,可得
,利用经过两曲线交点的直线恰过点F,可得(c,2c)为双曲线
的一个点,由此即可求出双曲线的离心率.
解答:解:由题意,∵抛物线y2=2px(p>0)的焦点F为双曲线
的一个焦点
∴
∵经过两曲线交点的直线恰过点F
∴
,即(c,2c)为双曲线
的一个点
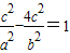
∴
∴(c2-a2)c2-4a2c2=a2(c2-a2)
∴e4-6e2+1=0
∴
∵e>1
∴e=
故答案为:
点评:本题考查抛物线与双曲线的综合,考查抛物线与双曲线的几何性质,确定几何量之间的关系是关键.
解答:解:由题意,∵抛物线y2=2px(p>0)的焦点F为双曲线
∴
∵经过两曲线交点的直线恰过点F
∴
∴
∴(c2-a2)c2-4a2c2=a2(c2-a2)
∴e4-6e2+1=0
∴
∵e>1
∴e=
故答案为:
点评:本题考查抛物线与双曲线的综合,考查抛物线与双曲线的几何性质,确定几何量之间的关系是关键.
练习册系列答案
相关题目