题目内容
设数列{an}的前n项和为Sn,已知a1=1,Sn+1=2Sn+n+1(n∈N*),
(Ⅰ)求数列{an}的通项公式;
(Ⅱ)若
,数列{bn}的前项和为Tn,n∈N*,证明:Tn<2。
(Ⅰ)求数列{an}的通项公式;
(Ⅱ)若
解:(Ⅰ)∵
,当n≥2时,
,
∴
,
∴
,即
,
又
,
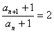
∴
,∴
,
∴
,即
。
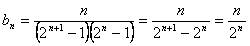
(Ⅱ)∵
,
∴
,
∴
,
,
∴
。
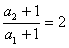
∴
∴
又
∴
∴
(Ⅱ)∵
∴
∴
∴
练习册系列答案
相关题目