题目内容
已知数列{an}的前n项和Sn=2n-1,则此数列奇数项的前n项和为( )A.
B.
C.
D.
【答案】分析:利用数列中an与 Sn关系
求出数列{an} 的通项公式为an=2n-1,判断出数列奇数项构成等比数列,且首项为1,公比为4.再利用等比数列求和公式计算即可.
解答:解:当n=1时,a1=S1=21-1=1,
当n≥2时,an=Sn-Sn-1=2n-1-(2n-1-1)=2•2n-1-2n-1=2n-1,对n=1也适合
∴an=2n-1,
∴数列{an}是等比数列,此数列奇数项也构成等比数列,且首项为1,公比为4.
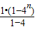
∴此数列奇数项的前n项和为
=
=
故选C
点评:本题考查利用数列中an与 Sn关系
求通项,等比数列的判定、性质、求和计算.
解答:解:当n=1时,a1=S1=21-1=1,
当n≥2时,an=Sn-Sn-1=2n-1-(2n-1-1)=2•2n-1-2n-1=2n-1,对n=1也适合
∴an=2n-1,
∴数列{an}是等比数列,此数列奇数项也构成等比数列,且首项为1,公比为4.
∴此数列奇数项的前n项和为
故选C
点评:本题考查利用数列中an与 Sn关系
练习册系列答案
相关题目
已知数列{an}的前n项和Sn=an2+bn(a、b∈R),且S25=100,则a12+a14等于( )
| A、16 | B、8 | C、4 | D、不确定 |