题目内容
已知函数f(x)=sinxcosx+sin2x,
(1)求f(x)的值域和最小正周期;
(2)设α∈(0,π),且f(α)=1,求α的值。
(1)求f(x)的值域和最小正周期;
(2)设α∈(0,π),且f(α)=1,求α的值。
解:(1)


,
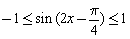
因为
,
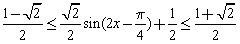
所以
,
即函数
的值域为
,
函数
的最小正周期为
。
(2)由(1)得
,
所以
,
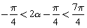
因为
,
所以
,
所以
或
,
从而
或
。
因为
所以
即函数
函数
(2)由(1)得
所以
因为
所以
所以
从而
练习册系列答案
相关题目