题目内容
函数(Ⅰ)求f(x)的最小正周期及解析式;
(Ⅱ)设g(x)=f(x)-cos2x,求函数g(x)在区间
【答案】分析:(Ⅰ)由图可得A=1,一个周期内最高点与最低点的横坐标之差的绝对值为半个周期,得最小正周期T,进而得ω,代入最高点坐标求φ,得f(x)的解析式;
(Ⅱ)由(Ⅰ)知f(x)的解析式,代入求出g(x)的解析式,用两角和的正弦公式把式中的第一项展开,合并,再逆用两角差的正弦公式把式子变形为一个角的一个三角函数值,由x的范围,得到2x-
的范围,由正弦函数的图象得到sin(2x-
)的最大值和最小值.
解答:解:(Ⅰ)由图可得A=1,
,所以T=π.(2分)
所以ω=2.
当
时,f(x)=1,可得
,
因为
,所以
.(5分)
所以f(x)的解析式为
.(6分)
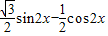
(Ⅱ)
=
=
=
.(10分)
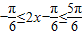
因为
,所以
.
当
,即
时,g(x)有最大值,最大值为1;
当
,即x=0时,g(x)有最小值,最小值为
.(13分)
点评:给出条件求y=Asin(ωx+φ)的解析式,条件不管以何种方式给出,一般先求A,再求ω,最后求φ;求三角函数最值时,一般要把式子化为y=Asin(ωx+φ)的形式,从x的范围由里向外扩,一直扩到Asin(ωx+φ)的范围,结合正弦函数图象求出最值.
(Ⅱ)由(Ⅰ)知f(x)的解析式,代入求出g(x)的解析式,用两角和的正弦公式把式中的第一项展开,合并,再逆用两角差的正弦公式把式子变形为一个角的一个三角函数值,由x的范围,得到2x-
解答:解:(Ⅰ)由图可得A=1,
所以ω=2.
当
因为
所以f(x)的解析式为
(Ⅱ)
=
=
因为
当
当
点评:给出条件求y=Asin(ωx+φ)的解析式,条件不管以何种方式给出,一般先求A,再求ω,最后求φ;求三角函数最值时,一般要把式子化为y=Asin(ωx+φ)的形式,从x的范围由里向外扩,一直扩到Asin(ωx+φ)的范围,结合正弦函数图象求出最值.
练习册系列答案
相关题目