题目内容
知函数f(x)=lnx-a2x2+ax(a∈R)。
(1)若函数f(x)在区间(1,+∞)上是单调减函数,求实数a的取值范围;
(2)讨论f(x)的极值。
(1)若函数f(x)在区间(1,+∞)上是单调减函数,求实数a的取值范围;
(2)讨论f(x)的极值。
解:(1):①当a=0时,
,
∴f(x)在区间(1,+∞)上为增函数,不合题意;
②当a≠0时,要使函数f(x)在区间上(1,+∞)是减函数,只需
在区间(1,+∞)上恒成立,
∵x>0,
∴只要
成立,
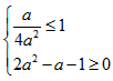
∴
解得
或
,
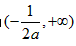
综上,实数a的以值范围是
;
(2)函数
的定义域为(0,+∞),
∴
,
①当a=0时,
,
∴f(x)的增区间为(0,+∞),此时f(x)无极值;
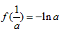
②当a>0时,令
,得
或
(舍去),
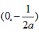
∴f(x)的增区间为
,减区间为
,
所以此时f(x)有极大值为
,无极小值;
③当a<0时,令
,得
(舍去)或
,
∴f(x)的增区间为
,减区间为
。
∴f(x)在区间(1,+∞)上为增函数,不合题意;
②当a≠0时,要使函数f(x)在区间上(1,+∞)是减函数,只需
∵x>0,
∴只要
∴
解得
综上,实数a的以值范围是
(2)函数
∴
①当a=0时,
∴f(x)的增区间为(0,+∞),此时f(x)无极值;
②当a>0时,令
∴f(x)的增区间为
所以此时f(x)有极大值为
③当a<0时,令
∴f(x)的增区间为
练习册系列答案
相关题目